Áp suất thủy tĩnh trong chất lỏng
Áp suất thủy tĩnh là áp suất do trọng lượng của cột chất lỏng phía trên tạo ra tại một điểm ở độ sâu nhất định trong chất lỏng đó. Khác với áp suất tiếp xúc chỉ tác động theo một hướng, áp suất thủy tĩnh phân bố đều theo mọi hướng xung quanh điểm đó.
I. Phân tích lý thuyết áp suất thủy tĩnh
1. Áp suất tiếp xúc
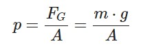
Để hiểu rõ hơn về sự hình thành áp suất thủy tĩnh, chúng ta có thể xem xét một khối băng hình trụ có diện tích mặt cắt ngang A. Khối băng này có khối lượng m và do đó có trọng lượng FG = m⋅g. Với trọng lượng này, khối băng sẽ tạo ra áp suất tiếp xúc trên mặt đất bên dưới. Áp suất tiếp xúc được tính từ thương số của trọng lượng và diện tích tiếp xúc theo định nghĩa của áp suất:


Ảnh: Áp lực tiếp xúc của cột băng
Như vậy, áp suất tiếp xúc không phụ thuộc vào kích thước của diện tích tiếp xúc.
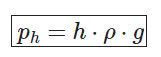
2. Từ áp suất tiếp xúc sang áp suất thủy tĩnh
Ảnh: Từ áp suất tiếp xúc của nước đá đến áp suất thủy tĩnh của nước lỏng
Khối băng đặt trong một bình hình trụ không làm thay đổi áp suất lên đáy bình. Khi khối băng tan chảy, khối lượng của nước vẫn giữ nguyên, vì vậy trọng lượng của nước tác động lên đáy bình không thay đổi. Do đó, áp suất tiếp xúc trên đáy bình vẫn không đổi, được tính theo công thức:

Áp suất tại một độ sâu nhất định của chất lỏng, do trọng lượng của cột chất lỏng phía trên nó gây ra, được gọi là áp suất thủy tĩnh.
Áp suất thủy tĩnh chỉ phụ thuộc vào chiều cao của cột chất lỏng.
3. Tác động của áp suất thủy tĩnh
Áp suất thủy tĩnh tác dụng đều theo mọi hướng, trong khi áp suất tiếp xúc chỉ tác dụng theo một hướng. Điều này có thể thấy rõ khi đặt một quả bóng thổi phồng ở đáy của một bình chứa chất lỏng. Áp suất tiếp xúc sẽ chỉ nén quả bóng theo chiều cao, còn áp suất thủy tĩnh sẽ nén quả bóng đều từ mọi phía.

II. Sự phụ thuộc của áp suất thủy tĩnh vào độ sâu
Áp suất thủy tĩnh tăng lên theo độ sâu. Điều này có thể được chứng minh bằng cách gắn áp kế ở các độ sâu khác nhau trong một bình chứa chất lỏng. Kết quả sẽ cho thấy nước chảy ra mạnh hơn ở độ sâu lớn hơn do áp suất thủy tĩnh tăng lên.

Ngoài trọng lượng của cột nước, áp suất khí quyển tác dụng lên bề mặt nước cũng gây ra áp suất. Áp suất tuyệt đối p tại một độ sâu nhất định là tổng của áp suất môi trường p0 và áp suất thủy tĩnh ph. Điều này thường được gọi là định luật Pascal hoặc phương trình thủy tĩnh:
[ p = po + ph ]

III. Nghịch lý thủy tĩnh
Khi xem xét ba bình chứa với hình dạng khác nhau nhưng cùng chiều cao nước, ta thấy áp suất thủy tĩnh tại đáy tất cả các bình đều bằng nhau, này chứng tỏ rằng hình dạng của bình chứa không ảnh hưởng đến áp suất thủy tĩnh. Điều này cũng được giải thích thông qua nguyên lý bảo toàn năng lượng.
Nếu hình dạng của bình chứa ảnh hưởng đến áp suất thủy tĩnh, nước trong một bình sẽ có áp suất lớn hơn ở cùng độ sâu. Khi hai bình này được nối bằng một ống, sự chênh lệch áp suất sẽ đẩy nước lên, tạo ra chuyển động vĩnh cửu. Tuy nhiên, điều này vi phạm định luật bảo toàn năng lượng. Do đó, hình dạng bình chứa không ảnh hưởng đến áp suất thủy tĩnh.

IV. Ảnh hưởng của vật nổi lên mặt nước
Không chỉ hình dạng của bình chứa, mà cả việc đặt một vật nổi lên bề mặt nước cũng không ảnh hưởng đến việc tính toán áp suất thủy tĩnh theo công thức. Hình vẽ minh họa một bình chứa nước với một quả bóng nổi

Khi một vật nổi trên mặt nước, áp suất thủy tĩnh tăng lên vì mực nước dâng cao, làm tăng độ sâu của nước. Theo nguyên lý Archimedes: '' Lực tác dụng lên một vật thể chìm trong chất lỏng , dù là toàn bộ hay một phần, thì bằng trọng lượng của chất lỏng mà vật thể đó chiếm chỗ''
Nguồn: https://www.tec-science.com/mechanics/gases-and-liquids/pressure-in-liquids-hydrostatic-pressure/
						
						
						
					
									
								